骨关节炎(OA)是一种慢性的退行性关节疾病,患病率高、花费高,是导致世界残疾的第四大原因。年龄、性别、遗传、过度运动、职业、体重等各种因素被认为可以诱发或加重OA的进展。OA病理特点多样,包括关节软骨变形破坏、软骨下骨硬化或囊性变、滑膜病变、韧带松弛、肌肉萎缩等。临床上OA的治疗方法多样,如药物、传统中医、手术治疗等,但不能逆转或治愈,近年来,富血小板血浆(PRP)疗法对于OA的治疗在临床上广泛应用开来,并且取得了令人满意的效果。

富血小板血浆(PRP)是来通过离心的方法从自体血液中制备的血小板血浆的浓缩物。PRP中富含多种生长因子,如血小板衍生生长因子(PDGF)、转化生长因子(TGF)、血管内皮细胞生长因子(VEGF)、表皮生长因子(EGF)、纤维细胞生长因子(FGF)、类胰岛素生长因子(IGF),这些生长因子被激活后可以加速基质干细胞的分化,促进成骨细胞和成纤维细胞的增殖,加快纤维蛋白与细胞外基质的合成,有利于组织的再生和修复。PRP在临床上对于骨关节炎、各类运动损伤性疾病的治疗的也取得了比较令人满宜的效果。
但是目前市面上的PRP制备装置存在多样化,制备出来的PRP的血小板浓度、白细胞含量存在较大差异,不同制备装置制备的PRP的临床效果也存在差别。那么对于OA和运动损伤的治疗,选择的PRP中血小板的浓度究竟是越高越好,还是适宜最好,我们一起来探究一下吧。
1、血小板浓度存在最大获益阈值,在一定血小板浓度范围之内,随着血小板浓度的增加,细胞增殖是增加的,超过阈值,血小板浓度继续增加反而会抑制细胞增殖。
1.1一项细胞试验证明,采用1%和5%的PRP处理牙成骨细胞,培养48小时后,进行细胞计数,可以发现添加1%和5%的PRP可使成骨细胞生长显著增加(p<0.05),且5%PRP与1%PRP处理的细胞相比,细胞增殖进一步增加,由此也可以看出,随着血小板浓度的增加,对于细胞增殖的促进作用是增加的。

1.2在另一项体外试验中,Augustus等人采用三种不同的PRP分离方法,获得含低浓度的血小板和低浓度白细胞(PRPLR)、高浓度血小板和高浓度白细胞(PRPHP)、高浓度血小板和低浓度白细胞(PRPDS)三种PRP制剂,并将这三种PRP制剂、对照培养基(2%胎牛血清(FBS)和10%FBS)、天然血液作用于人骨、肌肉和肌腱细胞培养物中,采用放射性胸苷试验检查细胞增殖的结果,评估不同PRP制剂对于细胞增殖作用的改善情况。
结果显示,在细胞增殖方面,与对照组相比,加入PRPLP可以显著增加骨细胞、肌细胞和肌腱细胞的细胞增殖(P<0.05)。与PRPHP和PRPDS组相比,PRPLP组对于肌细胞和肌腱细胞的细胞增殖作用改善更强。
试验结果可以看出,血小板浓度的增高,对于细胞的增殖作用并未显示出很好的优势,反而会抑制细胞的增殖,低浓度的血小板和低浓度白细胞的PRP显示出较好的促进细胞增殖的作用,因此对于PRP而言,在适宜血小板浓度范围内,白细胞的含量越低治疗效果反而会更好。
2、低浓度PRP对ACL重建修复的效果并不差
一项动物试验对双侧膝盖行缝合修补术,然后将3×PRP、5×PRP分别注射于两侧膝盖,愈合13周后,测量膝关节松弛度和ACL的结构特性。结果发现与应用5×PRP的膝关节相比,应用3×PRP浓度侧的膝关节修复组织的细胞密度下降24.1%(P< 0.05),但结构特性并未显著下降,应用3×PRP浓度侧的膝盖也没有显著改变30°和90°屈曲时的平均前后膝关节松弛度。由此可以看出,与高浓度血小板的PRP相比,低血小板浓度的PRP并未影响ACL重建,同样具有很好的修复效果。

另外,相较于血小板浓度较高的5×PRP,获得低浓度的PRP需要的血液量相对较少,在临床应用过程中患者更易于接受。
3、低浓度(1×,3×)的血小板对ACL成纤维细胞的增殖、预防凋亡和促进I型和III型前胶原的表达有较好的效果,以1×PRP效果最好。
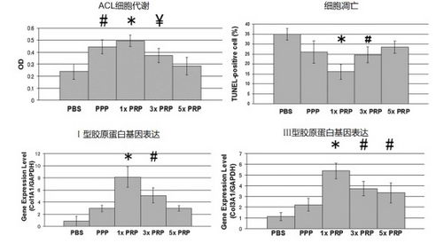
体外试验制备贫血小板的血浆(PPP),将血小板颗粒重悬于PPP中,分别制备血小板浓度与全血一样(1×PRP)、全血的3倍(3×PRP)、全血的5倍(5×PRP)的血浆制剂。所有样本中的白细胞浓度均≤0.03×106细胞/mL,红细胞浓度均≤0.01×106细胞/mL。从外植体培养中获得ACL成纤维细胞,并悬浮在PPP、1×PRP、3×PRP、5×PRP或磷酸盐缓冲盐水(PBS)中培养。检测细胞代谢(MTT法)、凋亡(TUNEL法)以及I型和III型前胶原表达。

结果显示:1×PRP在细胞代谢活性、凋亡预防、I型和III型前胶原表达方面均显著优于5×PRP;在细胞代谢活性方面,1×PRP组显著优于PBS组、3×PRP组和5×PRP组;在凋亡预防方面,1×PRP和3×PRP组的细胞凋亡率最低,1×PRP组细胞凋亡率显著低于PBS组、PPP组和5×PRP组;在I型前胶原表达方面,1×PRP组最高,显著高于PBS、PPP、3×PRP和5×PRP组;在III型前胶原表达方面,1×PRP组最高,显著高于PBS、PPP、3×PRP和5×PRP组。
结果不难看出血小板浓度对ACL成纤维细胞的行为是有显著影响的,低浓度(1×,3×)的血小板对ACL成纤维细胞的增殖、预防凋亡和促进I型和III型前胶原的表达有较好的效果,尤其以1×PRP效果最好。

通过以上研究我们可以看出,PRP中所含的血小板并不是完全随着浓度的升高治疗效果也随之增加的,而是在一定的浓度范围之内,效果随着血小板浓度的增加而增加,达到一定的浓度剂量之后,随着血小板的浓度升高反而会对细胞的增殖起到抑制作用,并且制备高浓度血小板的PRP需要的血液量较大,对于患者来说也是一种伤害,而对于骨关节炎和运动损伤的患者来说,适合的才是最好的,采用低浓度血小板的PRP可获得更优的治疗效果。
























